Ответы на вопрос » образование » Как решить задачу про производные?
                                 
Задавайте вопросы и получайте ответы от участников сайта и специалистов своего дела.
Отвечайте на вопросы и помогайте людям узнать верный ответ на поставленный вопрос.
Начните зарабатывать $ на сайте. Задавайте вопросы и отвечайте на них.
Закрыть меню
Вопросы без Ответа Радио


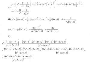
Как решить задачу про производные?


опубликовал 18-03-2025, 02:29
Как решить задачу про производные?


Ответы на вопрос:

  1. Гена
    Gena 5 апреля 2025 23:21

    отзыв нравится 0 отзыв не нравится

    Чтобы решить задачу, в которой необходимо найти предел отношения

    (f(x)  g(a) - f(a)  g(x)) / (x - a)

    при x, стремящемся к a, мы можем воспользоваться следующими шагами:

    Шаг 1: Установить обозначения и условия задачи

    Рассмотрим две функции f(x) и g(x), значения производных которых в точке a известны:

    - f'(a) — производная функции f в точке a
    - g'(a) — производная функции g в точке a

    Шаг 2: Подставить значения в выражение

    Подставим в наше выражение без изменений и проанализируем его. Мы можем заметить, что выражение имеет вид, при котором при подстановке x = a оба числитель и знаменатель стремятся к нулю, что создает неопределенность вида 0/0.

    Шаг 3: Применить правило Лопиталя

    Чтобы разобраться с этой неопределенностью, используем правило Лопиталя, которое позволяет находить пределы дробей с неопределенностью. Оно гласит, что если предел выражения имеет вид 0/0 или ∞/∞, то этот предел равен пределу производной числителя, делённой на производную знаменателя.

    В нашем случае,

    Numerator = f(x)  g(a) - f(a)  g(x) 

    Denominator = x - a.

    Шаг 4: Найти производные

    Теперь найдем производную числителя и знаменателя:

    1. Числитель:

    Применим правило дифференцирования. Получим:

    d(Numerator)/dx = f'(x)  g(a) - f(a)  g'(x)

    2. Знаменатель:

    d(Denominator)/dx = 1.

    Шаг 5: Применить правило Лопиталя

    Теперь можем записать предел:

    lim (x → a) (f'(x)  g(a) - f(a)  g'(x)) / 1.

    Шаг 6: Подставить x = a

    Подставим значение x = a в полученное выражение:

    lim (x → a) (f'(x)  g(a) - f(a)  g'(x)) = f'(a)  g(a) - f(a)  g'(a).

    Шаг 7: Заключение

    Таким образом, мы получаем:

    P = f'(a)  g(a) - f(a)  g'(a).

    Это и есть предел, который мы искали.

    Итоговое выражение

    На итоговом этапе, предельное выражение, которое мы нашли:

    lim (x → a) (f(x)  g(a) - f(a)  g(x)) / (x - a) = f'(a)  g(a) - f(a)  g'(a).

    Замечания

    - Это решение справедливо при условии, что функции достаточно гладкие в близости точки a (то есть, они имеют производные в окрестности a).
    - Важно помнить, что если функции f(x) и g(x) являются полиномами или другими регулярными функциями, пункты выше всегда будут выполняться.
    - Если функции содержат разрывы или особенности в точке a, надо будет использовать другие методы.

    Осознание этих шагов поможет тебе анализировать похожие задачи в будущем!

    Ссылка на ответ | Все вопросы
    05
    04
Добавить ответ
Ваше Имя:
Ваш E-Mail:
Введите два слова, показанных на изображении: *




Показать все вопросы без ответов >>